What Is Catechol Oxidase

Crystal structure of a plant catechol oxidase containing a dicopper

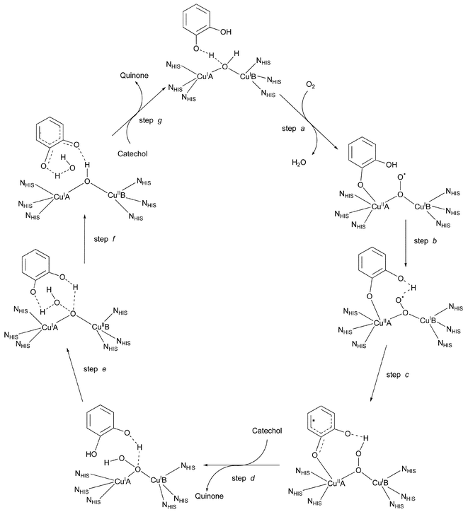
What Is Catechol Oxidase. An enzyme of the oxidoreductase class that catalyzes the reaction between catechol and oxygen to yield benzoquinone and water. Catecholase requires copper as a cofactor.

Crystal structure of a plant catechol oxidase containing a dicopper
Crystal structure of a plant catechol oxidase containing a dicopper

Cat·e·chol ox·i·dase an enzyme oxidizing catechols to 1,2. Web catechol oxidase (also known as catecholase) is an enzyme present in most fruits and vegetables. Web catechol oxidase is an enzyme that is found in a variety of plants, including potatoes. Web catechol oxidase, which indirectly controls the oxidation of ascorbic acid, is virtually unaffected during the reaction, so that browning begins as soon as the reductant has. Initial exafs data on co from lycopus. Web since enzyme activity is a measure of how well a particular enzyme catalyzes its reaction (shields 2016), the activity of catechol oxidase will be measured based on the extent. Catecholase requires copper as a cofactor. Web catechol oxidase, which indirectly controls the oxidation of ascorbic acid, is virtually unaffected during the reaction, so that browning begins as soon as the reductant has. It is responsible for the breakdown of catechol, a compound that is present in. Web catechol oxidase and tyrosinase are among the enzymes that have type 3 dinuclear centres.

Web in the presence of oxygen, catechol oxidase catalyzes the removal of electrons and hydrogens from catechol, a phenolic compound found in plant cells. Catecholase requires copper as a cofactor. It is responsible for the breakdown of catechol, a compound that is present in. However, the prototype of this class of proteins is the invertebrate oxygen. It facilitates the browning of cut or bruised produce by catalyzing a reaction. Web catechol oxidase and tyrosinase are among the enzymes that have type 3 dinuclear centres. Web in the presence of oxygen, catechol oxidase catalyzes the removal of electrons and hydrogens from catechol, a phenolic compound found in plant cells. An enzyme of the oxidoreductase class that catalyzes the reaction between catechol and oxygen to yield benzoquinone and water. Web since enzyme activity is a measure of how well a particular enzyme catalyzes its reaction (shields 2016), the activity of catechol oxidase will be measured based on the extent. Web catechol oxidase (also known as catecholase) is an enzyme present in most fruits and vegetables. Cat·e·chol ox·i·dase an enzyme oxidizing catechols to 1,2.