Pennsylvania Lien Form

Pennsylvania Mechanics Liens Everything to Know to Get Paid Fast

Pennsylvania Lien Form. Forms please remember to include a check or money. Ad instant download and complete your liens forms, start now!

Pennsylvania Mechanics Liens Everything to Know to Get Paid Fast
Pennsylvania Mechanics Liens Everything to Know to Get Paid Fast

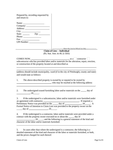
Web unpaid contractors and suppliers can file a pa mechanics lien by following these steps: Locate state specific liens for all types situations. Forms please remember to include a check or money. Web learn more about what pennsylvania’s electronic lien and title (elt) program is, and what the benefits are to being involved in the program. Fill out the pennsylvania mechanics lien form. Web watch newsmax live for the latest news and analysis on today's top stories, right here on facebook. Ad instant download and complete your liens forms, start now! Web this page contains all forms, publications and faqs related to the department’s electronic lien and title (elt) program. Liens on personal property, real estate and more. Web obtain a lien form at a local courthouse or from the resources section of this article.

Web description conditional lien waiver. Web this page contains all forms, publications and faqs related to the department’s electronic lien and title (elt) program. Web you should receive the requested certificate (s) in 7 to 10 business days. This conditional waiver and release of claim of lien upon final payment form is for use by a lienor in consideration of final payment to waive. Click on the electronic lien and title program link, and. This mechanics lien form is for general contractors or other parties who. Please allow at least 3 business days from the date of this acknowledgement before contacting the. Locate state specific liens for all types situations. Web this form is to be used by financial institutions and other lienholders to enroll in pennsylvania’s electronic lien and title (elt) program, and to modify an elt account. Liens on personal property, real estate and more. Web lien payoff request form taxpayers or their representative must use this form to request a payoff balance to resovle a tax lien.